2014.07.08. - Kepler fedési kettős részletes elemzését végezték el magyar kutatók
Magyar kutatók által vezetett nemzetközi csoport egy Kepler fedési kettős komplex fotometriai és spektroszkópiai elemzését, illetve modellezését végezte el, amely alapján talán még egy harmadik komponens is lehet a rendszerben.
A KIC 8560861 (HD 183648) katalógusjelű fedési kettős keringési periódusa 31,973 nap, a pályaexcentricitás kicsi, mindössze 0,05 és a rendszer néhány napos időskálán millimagnitúdós amplitúdójú pulzációt is mutat. Egy majdnem húsz főből álló nemzetközi csoport, melynek vezetője Borkovits Tamás, tíz magyar tagja pedig a Bács-Kiskun Megyei Csillagvizsgáló Intézet, az MTA CsFK Konkoly Obszervatórium és az ELTE Gothard Asztrofizikai Obszervatórium munkatársaiból verbuválódott, a fedési kettős komplex fotometriai és spektroszkópiai analízisét végezte el a Kepler-űrtávcső Q0 és Q16 közötti félórás mintavételezésű adatsora és több különböző teleszkópon működő spektrográffal nyert közepes és nagy felbontású színképek alapján, modellszámításokat is felhasználva. A színképi megfigyelések során fontos szerepet játszott az ELTE GAO eShel spektrográfja, melyet a kutatók több észlelési sorozat alkalmával a GAO 50 cm-es RC-teleszkópján és a Konkoly Obszervatórium piszkéstetői 1 m-es RCC távcsövén használtak.
A kutatóknak több különböző módszer segítségével (spektrumszétválasztás, légköranalízis, radiálissebesség-görbék és fedési időpontok elemzése, fénygörbe-analízis, pulzáció vizsgálata a kettősség hatásaitól "megtisztított" adatsorok alapján) sikerült meghatározniuk a kettős komponenseinek fő paramétereit. Az eredmények szerint a kettőst alkotó fősorozati csillagok kora 0,9±0,2 milliárd év, tömegeik, sugaraik és effektív hőmérsékletük pedig rendre a következő: 1,93±0,12 naptömeg, 3,30±0,07 napsugár és 7650±100 K, illetve 1,06±0,08 naptömeg, 1,11±0,03 napsugár és 6450±100 K. Mindkét csillag gyorsan forog a tengelye körül, 104, illetve 26 km/s-os sebességgel.

A HD 183648 két komponensének pozíciója a Teff - log g diagramon. A piros vonalak különböző fejlődési utakat jelölnek.
[Borkovits és mtsai, 2014]
A kettős komponenseire és pályaparaméterei vonatkozó modell fénygörbéből történő levonása után az így keletkező adatsorban három független frekvenciát sikerült azonosítani, melyek közül kettő távolsága az orbitális periódust jellemző frekvencia kétszerese, ami arra utal, hogy itt árapály-erők által gerjesztett oszcillációkról van szó. A fénygörbe talán legmeglepőbb része a fedéseken kívül látható szinuszos jellegű változás, aminek frekvenciája és amplitúdója pontosan a komponensek ellipszoidális torzulása miatt várható értéknek felel meg, de azzal éppen ellentétes fázisú. Valószínűleg ez is az árapály-erők következménye, de ez esetben még további vizsgálatok szükségesek.

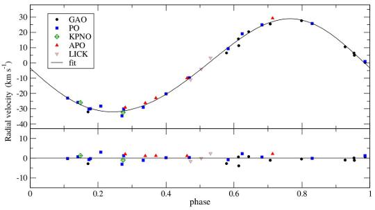
A észlelt és a keringési periódus szerint fázisba rendezett radiális sebességek, illetve az ezekre legjobban illeszkedő modell. Az alsó panelen a reziduálok láthatók. A színképek nagy része az ELTE GAO eShel spektrográfjával készült a GAO 50 cm-es, illetve a Konkoly Obszervatórium 1 m-es teleszkópján, de származnak adatok több méteres távcsövekről is.
[Borkovits és mtsai, 2014]
A fedési időpontok változásának elemzése alapján abban egy parabolikus trend, illetve egy 10400±3000 év periódusú ún. apszismozgás is látszik. Utóbbi háromszor rövidebb, mint ami elméletileg várható lenne. Ezek az effektusok arra utalnak, hogy a rendszerben egy harmadik, távoli, egyelőre láthatatlan komponens is van.
Az eredményeket részletező szakcikk a Monthly Notices of the Royal Astronomical Society c. folyóiratban fog megjelenni.
Forrás:





